fbpx

Bookmarks

Introduction into combustion analysis

The following document will introduce you into the world of advanced engine development. Combustion analysis used to be a privilege of high class motorsport teams and OEM-s, but not anymore! We, at BDN Automotive aim to make this state-of-the-art technology available for everyone! Enjoy your journey, and do not hesitate to contact us!

bdn combustion analyser

Basics of Combustion Analysis

Combustion analysis is an investigation method relying on high-frequency in-cylinder pressure measurement in an internal combustion engine. By capturing and visualising the pressure trace against crankshaft position in a running engine, all the vital thermodynamic processes could be observed. Having the knowledge about such a phenomenon and process gives the developer a much better insight on how does and how effectively the given engine works. With cylinder pressure investigation it is not only possible to analyse the combustion but also the gas exchange process (low pressure phase) as well. That significantly improves the possibility of having the proper calibration or further developing the engine achieving the demanded targets. It could be stated that no other technology provides such wealth information as cylinder pressure indication, or combustion analysis. Figure 1 shows a typical pressure trace captured in a four-stroke Otto cycle.

Figure 1: Cylinder pressure against crank angle [1]

From the pressure trace the following functions need to be calculated, which are presented on Figure 2.
  • Pressure Gradient [bar / deg]
  • Heat Release [J / deg]
  • Cumulated Heat Release [J]
  • Normalised Heat Release

Figure 2: Cylinder pressure curve with the calculated functions [1]

Having the pressure trace and the above listed graphs calculated for each cycle, the following vital cycle parameters could be captured.

  • Peak Cylinder Pressure
  • Peak Cylinder Pressure Location
  • Mass Fraction Burned location values, such as:
    • MFB5: Start of combustion (SoC could be defined differently, depends on the user’s needs)
    • MFB50: Crank angle position where 50% of the heat is released
    • MFB95: End of combustion (EoC could be defined differently, depends on the user’s needs)
    • Combustion duration
  • IMEP (Indicated Mean Effective Pressure)
    • High-pressure IMEP (compression + expansion)
    • Low-pressure IMEP (gas exchange)
    • Gross IMEP (all four strokes)
  • Knock amplitude
These parameters could be used for both calibration and more advanced engine development.

The commonly used parameters for engine calibration

MFB50

The mass point of combustion: describes where the 50% of the cumulative (total) heat is released. MFB50 has an optimal value (after TDC) in every engines. From basic thermodynamics it is known that a heat release at constant volume (infinite fast burning) gives higher efficiency than a heat release at constant pressure. (slow burning) In an optimal Otto cycle the heat release takes place at TDC and is infinitely fast [2], [3]. In fact in a real engine instantaneous combustion is impossible, therefore the combustion needs to be positioned well in order to achieve the best balance between heat losses and maintaining an acceptable expansion ratio. That is how MFB50 values could be used, as it is a direct, comparable measure of that balance. As a rule of thumb its value should be between 7 and 15° ATDC for most of the engines [4].

Knock amplitude

Detonation occurs when an abnormal, auto-ignited pressure wave collides with a normal one creating a local pressure peak [5]. The effect of knock could be monitored on the pressure trace, as it being overlaid by a high frequency oscillation. The knock amplitude describes the amplitude of that high frequency pressure oscillation. As a rule of thumb the acceptable level of knocking is 1 bar amplitude / 1000 rpm [4], [6].

IMEP (gross)

Describing the integral of the pressure trace through the cycles, which correlates with the torque level of the given cycles. Any thermodynamic modification that increases the engine’s torque increases the IMEP level as well [3].

Abnormal Combustion – Knock Phenomena

During the combustion phase the spark plug fires the air-fuel mixture, which starts to burn radially. As the volume of combustion products are higher than the unburned mixture, a pressure wave arises between the burned and unburned zone of the combustion chamber. This wave then reflects from the cylinder walls, pistons, and other mechanical components. Detonation occurs when an abnormal, auto-ignited pressure wave collides with a normal one creating a local pressure peak [5].
The effect of knock could be monitored on the pressure trace, as it being overlaid by a high frequency oscillation. The frequency of it depends mainly on the bore – illustrated by Figure 3 –, as it is a superposition of the different harmonics of the pressure wave reflections inside the cylinder [7].

Figure 3: Fundamental knock frequencies based on bore size [7]

To understand that better, Figure 4 shows a group of cycles with the pressure trace and the FFT of the pressure traces on the right side. Among those three visible cycles none was knocking heavily. The FFT monitor shows that the only high-frequency component that has higher amplitude than the others is at around 33 kHz which is due to the noise coming from the measuring chain.

Figure 4: Frequency analysis of non-knocking cycles

Observing heavily knocking cycles, the Fast Fourier Transform analysis shows clearly different picture. Figure 5 A high amplitude component (beside the same noise seen at the previous figure) could be observed at around 6.5 kHz. That frequency matches very closely to the knocking frequency that could be calculated for a 81mm cylinder bore [8].

Figure 5: Frequency analysis of knocking cycles

The detonation that makes those pressure peaks could be created in the two following ways. The difference between those two phenomena is the generating cause.

Auto-ignition

is the phenomenon usually assigned with knock. The spark generated combustion leads towards increased cylinder pressure and temperature. This phenomenon occurs when the local peak temperature in the unburned zone reaches the auto-ignition temperature of air-fuel mixture and the secondary flame starts to propagate from that spontaneous ignition point [9]. The generated pressure wave collides with the normal one. Auto ignition is triggered by the combustion coming from the spark event, and therefore could be controlled with altering the spark advance.

Pre-ignition

is created in the compression stroke before spark would ignite the mixture. In that case a point of the combustion chamber (hot spot) gets too hot and exceeds the mixture’s auto-ignition temperature. Therefore, the combustion starts even without the presence of the spark. As the volume is still decreasing (the engine is before TDC) that type combustion could cause enormously high cylinder pressure [6]. Furthermore, the combustion generated by a pre-ignition process could cause auto-ignition as well. The pre-ignition is not triggered by a spark event, therefore it could not be controlled with altering the spark event’s position. Auto ignition could be distinguished from pre ignition by the location of the generated pressure peaks. The amplitude of pre-ignition is usually magnitudes higher then a standard knock, thus it is commonly named as super-knock.

As the above-mentioned definition states, a knocking event causes high frequency pressure oscillation that could be observed on the cylinder pressure trace. As a pressure wave always propagates with the local speed of sound, the frequency of that oscillation would be affected by the internal dimensions of the engine, mainly by the cylinder bore [7]. As an example, a knocking cycle is shown on Figure 6 with approximately 5 bars knock amplitude.

Figure 6: Analysis of a heavily knocking cycle [1]

The high-frequency oscillation is clearly visible at the expansion stroke on the cylinder pressure trace. Since knock happens with combustion, it is only being investigated in a predefined knock-window. It is crucial not to monitor the whole cycle, as pressure oscillation during the gas exchange phase should not affect the knock calculations at all. The maximum peak-to-peak amplitude of this oscillation is defined as knock amplitude. The critical factor regarding knock is not its presence but the amplitude of the high frequency pressure oscillation. Knock is not harmful to the engine as long as its amplitude is within the predefined safety limits [6].

Where could combustion analysis be used?

Engine Calibration

As having a much clearer insight into the engines’ thermodynamic processes, engine calibration could be performed way more effectively using cylinder pressure investigation.
Figure 7 presents the theoretical effect of altering ignition timing on the cylinder pressure trace. The following facts are clearly visible:
  • peak pressure is heavily influenced
  • the area under the pressure curve – which correlates to work – is heavily influenced

Figure 7: Theoretical influence of altering the spark advance on the cylinder pressure trace [6]

As the area under the curve is changing also before TDC (negative work) and after TDC (positive work) the optimal value could not be determined just looking at the pressure trace. However, investigating the IMEP value for all those setting will determine the best spark advance setting. As the altering has an effect on peak cylinder pressure, it indirectly influences the temperature of the unburned zone during a combustion event.

Figure 8 demonstrates a comparison between cylinder pressure traces in the combustion phase for different ECU setpoints. Two different air-to-fuel ratio and ignition timing variations are investigated to observe the influence of the different calibration factors at the same operating point.
Ignition timing has a huge effect on the magnitude and location of peak cylinder pressure. Air-to-fuel ratio effects combustion duration and due to the fuel’s latent heat of evaporation, it highly influences peak temperature during the combustion event, which then results in getting closer to the borderline of auto-ignition. Calibrating an engine to the limits is always a trade-off, where certain limiting factors apply, such as knock and exhaust gas temperatures. Combustion analysis helps to understand those and gives a direct measure to the calibration engineer on the engine’s behaviour.

Understanding Design Principles

With the help of combustion analysis all the internal phenomena of an engine could be deeply understood. Combustion analysis could also lead to discover occurrences that would not be possible to gather in any other ways.

Ignition delay

With the occurrence of the spark at the spark plug, heat release does not start immediately. That could be visualised using the timing of the spark event sent out by the ECU and the start of heat release (Start of Combustion) on the same pressure trace, as shown on Figure 9. Ignition delay is strongly depending on the amount of in-cylinder charge motion.

Valve timing effects

Taking Figure 9 as an example two key points are marked, such as:
  • EVO – Exhaust valve opening
  • IVO – Inlet valve opening

Figure 9: Cylinder pressure trace with the notable events

This particular pressure trace has been recorded on a turbo-charged gasoline engine where the following phenomenon could be explored:

  • The exhaust valve opens roughly 30° BBDC, where cylinder pressure starts to decrease rapidly
  • As the engine is turbocharged running on high intake air temperature, ignition timing needs to be retarded in order to avoid auto-ignition. As an consequence, peak cylinder pressure arises at around 30°ATDC. It is clearly visible that the actual “effective” expansion ratio until the EVO point is significantly lower than the theoretical (geometrical) one.
  • The cylinder pressure is significantly higher compared to the theoretically expected value between 180° and 360° (exhaust stroke). That is mainly due to the high backpressure caused by the undersized turbocharger. That increased pressure generates significant negative work and increases pumping losses.
  • The cylinder pressure rises at IVO as the intake plenum pressure is higher than the pressure in the cylinder.

Cyclic dispersion

Engines are expected to create identical cycles in a defined steady-state working point. However, due to the extremely transient behaviour of the in-cylinder charge motion and heat transfer between the burned and unburned zones, combustion would not be exactly the same during the sequence of cycles [6].

Figure 10: Cyclic dispersion

On the history graph shown on Figure 10, the engine speed and peak cylinder pressure is listed against the cycle number. In the defined working point (engine speed is 2600 +/- 5 RPM on a dyno at constant load) the pressure peak values could be observed in each cycle. It is shown that the values have a significant spread and could only be fitted in the [52;72] bar range. It means that investigating just a single cycle could give the observer a false information.

The conclusion here is to monitor all cycle parameters as an average for a given number of cycles to avoid inaccurate information. Cyclic dispersion though is a valuable information which reflects an engine’s NVH (noise, vibration, and harshness) properties.

Model Validations

Cylinder pressure data could be well utilized in engine simulations acting as boundary condition or as validation data. It is important to mention the various areas:
  • Gas-Exchange simulation
  • Combustion simulation
  • FEM simulation of structural parts
  • 1D engine simulation
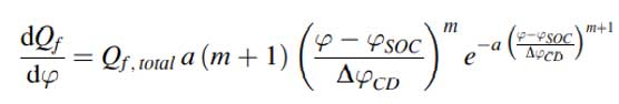
In every case of 1D engine simulation combustion data must be provided for the software to generate a solution. In most cases combustion parameters could be defined with various functions or could be directly defined with measured data. Vibe is a popular function to describe burning characteristics [10].

Figure 11: Vibe function [10]

With changing the parameters different function shapes could be created however each of them assumes a logarithmic shaped combustion characteristic. It is important to mention that such functions could not give a good correlation in most cases, therefore sometimes the deviation of the output parameters could be as high as 10%. In addition, the combustion characteristics usually vary with engine speed and load, which requires tuning for all the simulated points.

Figure 12: Engine speed dependent combustion characteristics [6]

Figure 12 shows a good example of the engine speed dependent combustion characteristics. Those curves have been recorded using a BDN Automotive® CA-6 Combustion Analyser. As the figure shows, ROHR (Rate of Heat Release) curves are different for all RPM levels. Increasing engine speed decreases combustion duration, while due to the higher turbulence, it extends the detonation limits. This results in an earlier start of combustion, thus earlier Mass Fraction Burned 50, increasing the thermal efficiency [6]. Constant burning parameters should be avoided to get valid and reliable simulation result. Without the combustion data precise definition of the burning process would not be possible.

Engine Diagnostics

Combustion analysis could be effectively used in engine diagnostics. As most engine problems have an impact on the cylinder pressure trace, capturing all events could let the observer find out various issues. In the following example (Figure 13) a five-cylinder diesel engine is analysed as it exceeds legal soot emission. All the five cylinders have been previously equipped with pressure sensing glow plugs, therefore the instrumentation has been very straightforward.

Figure 13: Diesel engine diagnostics

The third cylinder’s peak pressure is constantly higher by 10-15 bars compared to the others. In addition, the first heat release process – which reflects to pilot injection – of that given cylinder is significantly higher compared to the others. From that diagnosis, it could be stated that the third injector is not working properly. In addition, the fifth cylinder has the lowest peak pressure values through the cycles while there is no difference in the heat release curves. That refers to worn out mechanical parts in the given cylinder. Alongside problems in the fuel system, combustion analysis could also effectively answer diagnostic questions from mainly every field of the engine, including mechanical parts like worn out cylinder liners, ring, pistons, valves or malfunctions in the air path and the exhaust system.

Instrumentation

The instrumentation needs of a combustion analysis system as gathering high-speed information among extremely harsh conditions requires precision. In every case all the wiring that transfer pressure transducer or trigger wheel signals must be shielded. The wires are preferred to be MIL spec such as all the connectors to maintain undisturbed signal transfer in all cases.

Figure 14: Drill-in pressure sensor mounted to a cylinder head [6]

There are two main possibilities to insert a cylinder pressure sensor inside a cylinder:
  • Drill-in sensors (Figure 14)
  • Sensor integrated into the spark plug or glow plug
Those sensor types have both advantages and disadvantages. It always needs to be considered that selecting a sensor type (not to mention the sensor itself) could have an influence on the captured cylinder pressure trace. Therefore, all the collected results need to be evaluated accordingly. Due to these facts the sensor type should be selected for the needs of the given application. General engineering truth applies here, there is no perfect solution, you must find the best trade-off.

The main properties of the two groups of sensors are:

Drill in sensors:

  • Direct contact with the combustion chamber – higher resolution and frequency response
  • Cylinder head needs to be modified – not every type of cylinder head allows the sensors to be mounted in each cylinder
  • Due to the higher accuracy and the need for machining is mainly used for thermodynamic validation and first phase engine development

Spark plug/glow plug mounted sensors:

  • Usually, the sensor does not have a direct contact with the combustion chamber – lower resolution due to the limited frequency respond
  • Easy to mount, machining is not required
  • Mainly used for customer projects / calibration
Beside the sensor type the sensor’s mounting position could also influence the captured pressure trace. In most of the applications the geometric possibilities of the given cylinder head defines the accessible mounting positions of a drill-in sensor.

Figure 15: Influence of the pressure sensor mounting place on the pressure trace [9]

Due to the standing wave profile formed in the combustion chamber, pressure sensors mounted into different positions will record different values of dynamic pressure [9]. Calculation of heat release, or other cycle parameters such as IMEP, or MFB curves are not that sensitive to positioning, while those measurements are usually comparisons between different setups, where the difference is still trackable. Figure 15 presents different cylinder pressure traces recorded in the same cylinder in the same cycle. (traces have 20 bar offset compared to each other for better visibility) The comparison gives a good picture about the influence of the cylinder pressure sensor’s location [9]. Naturally, in the most cases the pressure sensor could only be mounted to places where the geometrical constrains let, however the position’s effect need to be kept in mind.

As it was mentioned earlier the pressure sensor needs to be selected always for the given application. Figure 16 summarises the experience gained during the test procedures at BDN Automotive®. As the comparison shows there is no generic optimal choice. In addition, it has to be mentioned that piezoelectric sensors require an additional charge amplifier that further increases cost and complexity.

Figure 16: Comparison of different pressure sensors

Conclusion

Combustion analysis is a complex measuring technique which results in gathering the most valuable information about any internal combustion engine’s thermodynamic, chemical, and mechanical behaviour. To get plausible results, high technological knowledge was needed, but not anymore! Our mission at BDN Automotive is to provide state-of-the-art, affordable internal combustion engine development systems (combustion analysers), and advanced engine control strategies to a wide range of customers in all levels of motorsport, and automotive market.

In case you have any questions about the topic, the product, or the technology, feel free to contact us!

References

[1] BDN Automotive Kft., “BDN CA-6 User Manual,” Budapest, 2020.

[2] Gordon P. Blair, Design and Simulation of Four-Stroke Engines. Warrendale, PA: Society of Automotive Engineers, 1999.

[3] J. B. Heywood, Internal Combustion Engine (ICE) Fundamentals. McGraw-Hill, Inc, 1988.

[4] Greg Banish, Engine Management: Advanced Tuning. CarTech, 2007.

[5] D. J. Stadler, D. T. Walter, D. P. Wolfer, K. I. Ag, and C. Gossweiler, “Pressure Sensors,” Winterthur.

[6] N. Ludescher, “Defining Real-Time Combustion Control Strategies Using In-cylinder Pressure Measurement,” Cranfield University, 2020.

[7] J. M. Steven M. Dues, “Combustion Knock Sensing: Sensor Selection and Application Issues. SAE Technical Paper No.:900488,” 1990.

[8] N. Ludescher, “Performance Tuning of an Internal Combustion Engine Using Water-methanol Injection System,” Széchenyi István University, 2017.

[9] A. Bertola et al., “Pressure indication during knocking conditions,” pp. 7–21.

[10] G. P. Merker, C. Schwarz, and R. Teichmann, Combustion engines development : mixture formation, combustion, emissions and simulation. Berlin, New York: Springer, 2012.
Hiventures
bdn automotive

BDN Automotive Kft.